Dominika DĄBRÓWKA, Robert P. SARZAŁA
Instytut Fizyki, Politechnika Łódzka, ul. Wólczańska 217/221, 93-005 Łódź
Przedstawiamy analizę numeryczną hybrydowego VCSEL (ang. Vertical Cavity Surface Emitting Laser) opartego na azotkach, który posiada MHCG (ang. Monolitic High-refractive-index Contrast Gratings) wykonane z GaN po jednej stronie oraz dielektryczne zwierciadła DBR (ang. Distributed Bragg Reflector) po drugiej. Wybrana do tej analizy struktura bazowa została przedstawiona przez zespoły badawcze z Tajwanu oraz Szwecji [1]. Struktura ta posiadała dolne zwierciadła DBR o promieniu 40 µm oraz promień apertury elektrycznej wynoszący 4,5 µm i działała wyłącznie w warunkach impulsowych. Głównym celem badań było znalezienie rozwiązań projektowych, które poprawią wydajność wspomnianego lasera, w szczególności dążąc do pracy w trybie ciągłym (CW). Staraliśmy się zwiększyć wydajność urządzenia poprzez poprawę jego właściwości termicznych oraz bardziej efektywne wykorzystanie wstrzykiwanego prądu do jego obszaru czynnego.
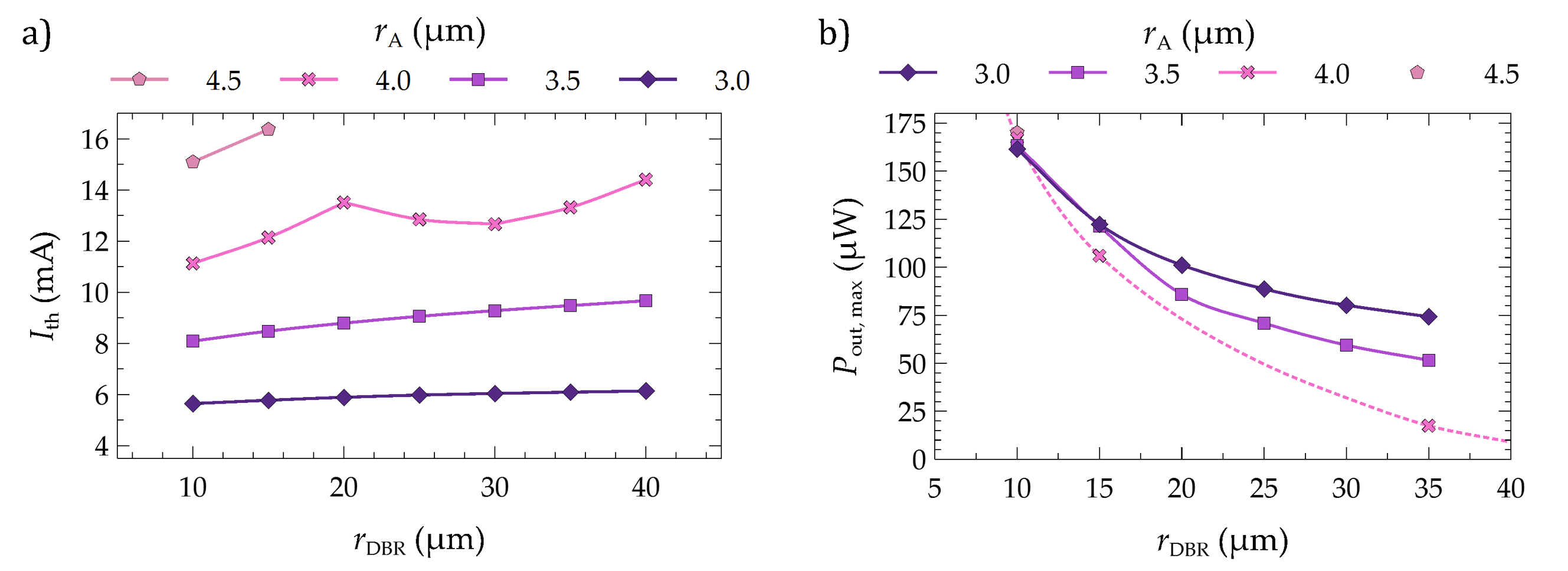
Przedstawione wyniki numeryczne pokazują, że odpowiedni dobór wielkości dolnych DBR i apertury elektrycznej lasera może poprawić warunki termiczne wewnątrz urządzenia, co przyczynia się do poprawy jego parametrów progowych, np. poprzez zmniejszenie prądu progowego (patrz rys. 1a). Zmniejszenie promienia DBR z 40 µm na 15 µm (przy rA = 4.5 µm) umożliwia osiągnięcie pracy w trybie z falą ciągłą. A właściwe dostosowanie rozmiaru promienia apertury elektrycznej i promienia dolnych DBR zwiększa moc optyczną emitowaną przez laser (patrz rys. 1b).
Podsumowując, na podstawie analizy numerycznej przedstawionej struktury MHCG GaN VCSEL, można stwierdzić, że odpowiednie zaprojektowanie rozmiaru apertury elektrycznej oraz rozmiaru dolnych DBR umożliwia pracę w trybie ciągłym, zmniejszenie prądu progowego oraz znaczący wzrost emitowanej mocy optycznej.

Literatura
[1] K.B. Hong, T.C. Chang, F. Hjort, N. Lindvall, W.H. Hsieh, W.H. Huang, P.H. Tsai, T. Czyszanowski, Å. Haglund, T.C. Lu, Monolithic High-Index Contrast Grating Mirror for a GaN-Based Vertical-Cavity Surface-Emitting Laser, Photonics Research (2021), vol. 9, no. 11, pp. 2214–2221.