Piotr WITOŃSKI1, Agnieszka MOSSAKOWSKA-WYSZYŃSKA1, Paweł SZCZEPAŃSKI1,2
1Politechnika Warszawska, Instytut Mikroelektroniki i Optoelektroniki, ul. Koszykowa 75, 00-662 Warszawa
2Instytut Łączności - Państwowy Instytut Badawczy, ul. Szachowa 1, 04-894 Warszawa
Struktury periodyczne wykazujące symetrię PT (z ang. parity time) są tworzone z materiałów charakteryzujących się zrównoważonym poziomem wzmocnienia i strat. Struktury te posiadają szereg ciekawych własności, np.: silne wzmocnienie fali o długości rezonansowej, kierunkową niewidzialność, czy doskonałą absorpcję. Struktury takie zbudowane są z dwóch materiałów optycznie czynnych ułożonych naprzemiennie, wzmacniającego i stratnego, o wartościach współczynnika załamania dobranych zgodnie z regułą: n*(-x)=n(x), gdzie gwiazdka oznacza zespolone sprzężenie.
W pracy przedstawiono po raz pierwszy analizę numeryczną nieliniowych struktur wykazujących symetrię PT z uwzględnieniem efektu Kerra oraz nasyceń wzmocnienia i strat. Efekt Kerra modyfikuje części rzeczywiste współczynników załamania warstw tworzących badaną strukturę, powodując ich wzrost w funkcji natężenia pola elektromagnetycznego w jej wnętrzu, natomiast nasycenie wzmocnienia i strat modyfikuje części urojone współczynników załamania warstw powodując ich spadek.
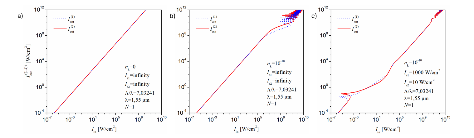
Analizę przeprowadzono z wykorzystaniem zmodyfikowanej metody macierzy transferu pozwalającej na opis przejścia fal przez kolejne warstwy struktury PT [1,2]. Otrzymano charakterystyki natężenia wyjściowego Iout({1,2}) w funkcji natężenia fali wejściowej Iin oraz parametrów badanej struktury PT. Na rysunku zaprezentowano trzy wybrane charakterystyki Iout({1,2}) dla następujących struktur: a) bez efektów nieliniowych; b) z uwzględnieniem wyłącznie efektu Kerra; c) z uwzględnieniem efektu Kerra i nasyceń wzmocnienia i strat. Pokazano silny wpływ efektu Kerra na przebieg charakterystyk wyjściowych w strukturze PT (rys.1b). W obecności nasyceń, efekt ten jest słabszy (rys.1c).

Literatura
[1] S. Phang, Theory and numerical modelling of parity-time symmetric structures for photonics, lipiec 15, 2016. http://eprints.nottingham.ac.uk/32596/ (dostęp 1 lipca 2024)
[2] P. Witoński, A. Mossakowska-Wyszyńska, P. Szczepański, Effect of Nonlinear Loss and Gain in Multilayer PT-Symmetric Bragg Grating, IEEE J. Quantum Electron. (2017), 53, 1, pp. 2100111